Дискуссионный математический форумМатематический форум
Математический форум Math Help Planet

Обсуждение и решение задач по математике, физике, химии, экономике

Теоретический раздел
Часовой пояс: UTC + 3 часа [ Летнее время ]
новый онлайн-сервис
число, сумма и дата прописью

Часовой пояс: UTC + 3 часа [ Летнее время ]




Начать новую тему Ответить на тему  [ Сообщений: 8 ] 
Автор Сообщение
 Заголовок сообщения: Предел от функции
СообщениеДобавлено: 06 ноя 2013, 14:27 
Не в сети
Начинающий
Аватара пользователя
Зарегистрирован:
06 ноя 2013, 14:14
Сообщений: 7
Cпасибо сказано: 5
Спасибо получено:
2 раз в 2 сообщениях
Очков репутации: 1

Добавить очки репутацииУменьшить очки репутации
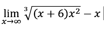
Помогите, пожалуйста, вычислить предел от функции. Не могу выйти из неопределенности :(
Изображение

Вернуться к началу
 Профиль  
Cпасибо сказано 
 Заголовок сообщения: Re: Предел от функции
СообщениеДобавлено: 06 ноя 2013, 14:40 
Не в сети
Beautiful Mind
Зарегистрирован:
16 дек 2012, 17:11
Сообщений: 1730
Cпасибо сказано: 160
Спасибо получено:
322 раз в 309 сообщениях
Очков репутации: 104

Добавить очки репутацииУменьшить очки репутации
[math]\lim\limits_{x \to \infty} ( \sqrt[3]{(x+6)x^2}-x) = \lim\limits_{x \to \infty} \frac{(\sqrt[3]{(x+6)x^2}-x) \cdot (\sqrt[3]{(x+6)x^2}+x)}{(\sqrt[3]{(x+6)x^2}+x)} = ... = 2[/math]

[math](a-b) \cdot (a+b) = a^2-b^2[/math]

Вернуться к началу
 Профиль  
Cпасибо сказано 
За это сообщение пользователю Wersel "Спасибо" сказали:
Deviance
 Заголовок сообщения: Re: Предел от функции
СообщениеДобавлено: 06 ноя 2013, 15:25 
Не в сети
Начинающий
Аватара пользователя
Зарегистрирован:
06 ноя 2013, 14:14
Сообщений: 7
Cпасибо сказано: 5
Спасибо получено:
2 раз в 2 сообщениях
Очков репутации: 1

Добавить очки репутацииУменьшить очки репутации
Wersel писал(а):
[math]\lim\limits_{x \to \infty} ( \sqrt[3]{(x+6)x^2}-x) = \lim\limits_{x \to \infty} \frac{(\sqrt[3]{(x+6)x^2}-x) \cdot (\sqrt[3]{(x+6)x^2}+x)}{(\sqrt[3]{(x+6)x^2}+x)} = ... = 2[/math]

[math](a-b) \cdot (a+b) = a^2-b^2[/math]


Все , конечно, хорошо, но нужна разность кубов а не квадратов.
Если применить ее, то получается такое выражение:
Изображение

Вернуться к началу
 Профиль  
Cпасибо сказано 
 Заголовок сообщения: Re: Предел от функции
СообщениеДобавлено: 06 ноя 2013, 15:50 
Не в сети
Light & Truth
Зарегистрирован:
21 авг 2011, 14:49
Сообщений: 5279
Cпасибо сказано: 315
Спасибо получено:
2299 раз в 1966 сообщениях
Очков репутации: 520

Добавить очки репутацииУменьшить очки репутации
[math]\begin{gathered} \mathop {\lim }\limits_{x \to \infty } (\sqrt[3]{{(x + 6){x^2}}} - x) = \mathop {\lim }\limits_{x \to \infty } \frac{{{x^3} + 6{x^2} - {x^3}}}{{\sqrt[3]{{{{(x + 6)}^2}{x^4}}} + x\sqrt[3]{{(x + 6){x^2}}} + {x^2}}} = \hfill \\ = \mathop {\lim }\limits_{x \to \infty } \frac{6}{{\sqrt[3]{{{{\left( {1 + \frac{6}{x}} \right)}^2}}} + \sqrt[3]{{1 + \frac{6}{x}}} + 1}} = \frac{6}{{1 + 1 + 1}} = 2 \hfill \\ \end{gathered}[/math]

Вернуться к началу
 Профиль  
Cпасибо сказано 
За это сообщение пользователю Yurik "Спасибо" сказали:
Deviance
 Заголовок сообщения: Re: Предел от функции
СообщениеДобавлено: 06 ноя 2013, 16:15 
Не в сети
Начинающий
Аватара пользователя
Зарегистрирован:
06 ноя 2013, 14:14
Сообщений: 7
Cпасибо сказано: 5
Спасибо получено:
2 раз в 2 сообщениях
Очков репутации: 1

Добавить очки репутацииУменьшить очки репутации
Yurik писал(а):
[math]\begin{gathered} \mathop {\lim }\limits_{x \to \infty } (\sqrt[3]{{(x + 6){x^2}}} - x) = \mathop {\lim }\limits_{x \to \infty } \frac{{{x^3} + 6{x^2} - {x^3}}}{{\sqrt[3]{{{{(x + 6)}^2}{x^4}}} + x\sqrt[3]{{(x + 6){x^2}}} + {x^2}}} = \hfill \\ = \mathop {\lim }\limits_{x \to \infty } \frac{6}{{\sqrt[3]{{{{\left( {1 + \frac{6}{x}} \right)}^2}}} + \sqrt[3]{{1 + \frac{6}{x}}} + 1}} = \frac{6}{{1 + 1 + 1}} = 2 \hfill \\ \end{gathered}[/math]


Значит делим числитель и знаменатель на x^2 , и каким-то магическим образом сокращаются x^4 под первым корнем , и х перед вторым корнем, так? :)

Вернуться к началу
 Профиль  
Cпасибо сказано 
 Заголовок сообщения: Re: Предел от функции
СообщениеДобавлено: 06 ноя 2013, 16:21 
Не в сети
Light & Truth
Зарегистрирован:
21 авг 2011, 14:49
Сообщений: 5279
Cпасибо сказано: 315
Спасибо получено:
2299 раз в 1966 сообщениях
Очков репутации: 520

Добавить очки репутацииУменьшить очки репутации
Deviance писал(а):
каким-то магическим образом сокращаются x^4 под первым корнем , и х перед вторым корнем,

[math]\frac{{\sqrt[3]{{{{(x + 6)}^2}{x^4}}}}}{{{x^2}}} = \sqrt[3]{{\frac{{{{(x + 6)}^2}{x^4}}}{{{x^6}}}}} = \sqrt[3]{{{{\left( {1 + \frac{6}{x}} \right)}^2}}}[/math]

Под вторм корнем сами разберётесь?

Вернуться к началу
 Профиль  
Cпасибо сказано 
За это сообщение пользователю Yurik "Спасибо" сказали:
Deviance
 Заголовок сообщения: Re: Предел от функции
СообщениеДобавлено: 06 ноя 2013, 16:34 
Не в сети
Начинающий
Аватара пользователя
Зарегистрирован:
06 ноя 2013, 14:14
Сообщений: 7
Cпасибо сказано: 5
Спасибо получено:
2 раз в 2 сообщениях
Очков репутации: 1

Добавить очки репутацииУменьшить очки репутации
Все. Спасибо.

Вернуться к началу
 Профиль  
Cпасибо сказано 
 Заголовок сообщения: Re: Предел от функции
СообщениеДобавлено: 06 ноя 2013, 18:28 
Не в сети
Последняя инстанция
Аватара пользователя
Зарегистрирован:
03 апр 2012, 03:09
Сообщений: 4113
Cпасибо сказано: 116
Спасибо получено:
1823 раз в 1515 сообщениях
Очков репутации: 379

Добавить очки репутацииУменьшить очки репутации
Ещё вариант.

[math]\sqrt[3]{x^2(x+6)}-x=x\left(\sqrt[3]{1+\frac6x}-1\right)\sim x\cdot\frac2x=2[/math]

Вернуться к началу
 Профиль  
Cпасибо сказано 
За это сообщение пользователю Human "Спасибо" сказали:
Deviance, Yurik
Показать сообщения за:  Поле сортировки  
Начать новую тему Ответить на тему      Страница 1 из 1 [ Сообщений: 8 ]

 Похожие темы   Автор   Ответы   Просмотры   Последнее сообщение 
Предел функции; Непрерывность функции

в форуме Пределы числовых последовательностей и функций, Исследования функций

student2017

0

401

22 ноя 2017, 18:46

Предел функции

в форуме Пределы числовых последовательностей и функций, Исследования функций

mayer

1

260

11 окт 2015, 11:45

Предел функции

в форуме Пределы числовых последовательностей и функций, Исследования функций

Namatrasnik

1

271

05 янв 2017, 11:00

Предел функции

в форуме Пределы числовых последовательностей и функций, Исследования функций

351w

4

460

20 окт 2020, 05:14

Предел функции

в форуме Пределы числовых последовательностей и функций, Исследования функций

firebird

4

375

23 дек 2020, 13:41

Предел функции

в форуме Пределы числовых последовательностей и функций, Исследования функций

sfanter

1

225

10 сен 2015, 04:19

Предел функции

в форуме Пределы числовых последовательностей и функций, Исследования функций

creator99

1

463

20 авг 2016, 11:42

Предел функции

в форуме Пределы числовых последовательностей и функций, Исследования функций

Do_you_watch_co

1

112

14 окт 2019, 18:48

Предел функции

в форуме Пределы числовых последовательностей и функций, Исследования функций

Boogieman

3

287

22 ноя 2018, 18:09

Предел функции

в форуме Пределы числовых последовательностей и функций, Исследования функций

Elphen Lied

23

414

30 окт 2020, 14:48


Часовой пояс: UTC + 3 часа [ Летнее время ]



Кто сейчас на конференции

Сейчас этот форум просматривают: нет зарегистрированных пользователей и гости: 6


Вы не можете начинать темы
Вы не можете отвечать на сообщения
Вы не можете редактировать свои сообщения
Вы не можете удалять свои сообщения
Вы не можете добавлять вложения

Найти:
Перейти:  

Яндекс.Метрика

Copyright © 2010-2024 MathHelpPlanet.com. All rights reserved