Дискуссионный математический форумМатематический форум
Математический форум Math Help Planet

Обсуждение и решение задач по математике, физике, химии, экономике

Теоретический раздел
Часовой пояс: UTC + 3 часа [ Летнее время ]
новый онлайн-сервис
число, сумма и дата прописью

Часовой пояс: UTC + 3 часа [ Летнее время ]




Начать новую тему Ответить на тему  [ Сообщений: 13 ]  На страницу 1, 2  След.
Автор Сообщение
 Заголовок сообщения: Двойной интеграл с переходом к полярной сист.коорд.
СообщениеДобавлено: 24 мар 2012, 22:15 
Не в сети
Продвинутый
Аватара пользователя
Зарегистрирован:
06 ноя 2011, 13:21
Сообщений: 98
Cпасибо сказано: 22
Спасибо получено:
0 раз в 0 сообщении
Очков репутации: 1

Добавить очки репутацииУменьшить очки репутации
Изображение

Вернуться к началу
 Профиль  
Cпасибо сказано 
 Заголовок сообщения: Re: Двойной интеграл с переходом к полярной сист.коорд.
СообщениеДобавлено: 24 мар 2012, 22:20 
Не в сети
Beautiful Mind
Аватара пользователя
Зарегистрирован:
08 дек 2011, 14:50
Сообщений: 1542
Cпасибо сказано: 84
Спасибо получено:
630 раз в 536 сообщениях
Очков репутации: 258

Добавить очки репутацииУменьшить очки репутации
Определите, что представляет собой область интегрирования
Запишите формулы преобразования координат

Вернуться к началу
 Профиль  
Cпасибо сказано 
 Заголовок сообщения: Re: Двойной интеграл с переходом к полярной сист.коорд.
СообщениеДобавлено: 24 мар 2012, 22:37 
Не в сети
Продвинутый
Аватара пользователя
Зарегистрирован:
06 ноя 2011, 13:21
Сообщений: 98
Cпасибо сказано: 22
Спасибо получено:
0 раз в 0 сообщении
Очков репутации: 1

Добавить очки репутацииУменьшить очки репутации
Дифференциальный элемент в полярных координатах будет равен:
Изображение

Двойной интеграл в полярных координатах описывается формулой:
Изображение

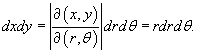
Формула замены переменных в двойном интеграле имеет вид:
Изображение

Вся имеющаяся информация, которую вы и так наверное знаете.
Более формул не имею.

На счет области интегрирования подождите, пожалуйста

Вернуться к началу
 Профиль  
Cпасибо сказано 
 Заголовок сообщения: Re: Двойной интеграл с переходом к полярной сист.коорд.
СообщениеДобавлено: 24 мар 2012, 22:51 
Не в сети
Beautiful Mind
Аватара пользователя
Зарегистрирован:
08 дек 2011, 14:50
Сообщений: 1542
Cпасибо сказано: 84
Спасибо получено:
630 раз в 536 сообщениях
Очков репутации: 258

Добавить очки репутацииУменьшить очки репутации
Если вы правильно записали функцию, то интегрирование выглядит так:
[math]\int\limits_0^4 {dx\int\limits_{ - \sqrt {16 - {x^2}} }^{\sqrt {16 - {x^2}} } {\frac{{tg\left( {\sqrt {{x^2} + {y^2}} }\right)}}{{ - \sqrt {{x^2} + {y^2}} }}dy = \int\limits_{ - \pi /2}^{\pi /2} {d\varphi \int\limits_0^4 {r \cdot \frac{{tg(r)}}{{ - r}}dr = ...} } } }[/math]
Естественно, тангенс на этой области не ограничен, и интеграл не сходится.

Вернуться к началу
 Профиль  
Cпасибо сказано 
 Заголовок сообщения: Re: Двойной интеграл с переходом к полярной сист.коорд.
СообщениеДобавлено: 24 мар 2012, 23:05 
Не в сети
Продвинутый
Аватара пользователя
Зарегистрирован:
06 ноя 2011, 13:21
Сообщений: 98
Cпасибо сказано: 22
Спасибо получено:
0 раз в 0 сообщении
Очков репутации: 1

Добавить очки репутацииУменьшить очки репутации
Shaman вот, у меня практически так же вышло, с пределами только оплошал, но учитывая тангенс это не столь важно..
Ладно, уточню у преподавателя.
Спасибо.

Вернуться к началу
 Профиль  
Cпасибо сказано 
 Заголовок сообщения: Re: Двойной интеграл с переходом к полярной сист.коорд.
СообщениеДобавлено: 29 мар 2012, 21:15 
Не в сети
Продвинутый
Аватара пользователя
Зарегистрирован:
06 ноя 2011, 13:21
Сообщений: 98
Cпасибо сказано: 22
Спасибо получено:
0 раз в 0 сообщении
Очков репутации: 1

Добавить очки репутацииУменьшить очки репутации
Shaman тангенс ни на что не влияет, можно делать тригонометрическое преобразование и продолжить решение. Я дорешал, просто написал на случай, если вам интересно.

Вернуться к началу
 Профиль  
Cпасибо сказано 
 Заголовок сообщения: Re: Двойной интеграл с переходом к полярной сист.коорд.
СообщениеДобавлено: 30 мар 2012, 01:27 
Не в сети
Мастер
Аватара пользователя
Зарегистрирован:
27 дек 2011, 22:41
Сообщений: 296
Cпасибо сказано: 65
Спасибо получено:
138 раз в 116 сообщениях
Очков репутации: 174

Добавить очки репутацииУменьшить очки репутации
Spoke писал(а):
тангенс ни на что не влияет

мне тоже это интересно, покажите пожалуйста.
на сколько я понял r от 0 до 4
но в этом диапазоне есть точка пи/2 где тангенс неопределен

Вернуться к началу
 Профиль  
Cпасибо сказано 
 Заголовок сообщения: Re: Двойной интеграл с переходом к полярной сист.коорд.
СообщениеДобавлено: 30 мар 2012, 17:51 
Не в сети
Продвинутый
Аватара пользователя
Зарегистрирован:
06 ноя 2011, 13:21
Сообщений: 98
Cпасибо сказано: 22
Спасибо получено:
0 раз в 0 сообщении
Очков репутации: 1

Добавить очки репутацииУменьшить очки репутации
igor_vis
Spoke писал(а):
можно делать тригонометрическое преобразование и продолжить решение

Т.е. заменить тангенс синусом с косинусом и продолжить решения опираясь уже на них.

Вернуться к началу
 Профиль  
Cпасибо сказано 
 Заголовок сообщения: Re: Двойной интеграл с переходом к полярной сист.коорд.
СообщениеДобавлено: 30 мар 2012, 18:08 
Не в сети
Верховный модератор
Аватара пользователя
Зарегистрирован:
13 окт 2010, 13:09
Сообщений: 19963
Откуда: Пермь + Одесса
Cпасибо сказано: 11725
Спасибо получено:
5319 раз в 4796 сообщениях
Очков репутации: 708

Добавить очки репутацииУменьшить очки репутации
Spoke писал(а):
Т.е. заменить тангенс синусом с косинусом

И каким образом это помогает обойти разрыв подынтегральной функции в точке [math]\frac{\pi}{2}[/math]?

Вернуться к началу
 Профиль  
Cпасибо сказано 
 Заголовок сообщения: Re: Двойной интеграл с переходом к полярной сист.коорд.
СообщениеДобавлено: 31 мар 2012, 13:13 
Не в сети
Продвинутый
Аватара пользователя
Зарегистрирован:
06 ноя 2011, 13:21
Сообщений: 98
Cпасибо сказано: 22
Спасибо получено:
0 раз в 0 сообщении
Очков репутации: 1

Добавить очки репутацииУменьшить очки репутации
mad_math но ведь только тангенс на этой области не ограничен, замена по тригонометрическим формулам, как раз и позволяет этого избежать и продолжить расчеты.
mad_math писал(а):
каким образом это помогает обойти разрыв подынтегральной функции в точке

Я в этом деле не силен, иначе бы не обращался за помощью, поэтому лучше попробуйте найти пример такого интеграла, опять же с тангенсом, я думаю там не застопорится решение. Впрочем я сдал это задание преподавателю, если все-таки моя ошибка, я обязательно о ней сообщу.

Вернуться к началу
 Профиль  
Cпасибо сказано 
Показать сообщения за:  Поле сортировки  
Начать новую тему Ответить на тему    На страницу 1, 2  След.  Страница 1 из 2 [ Сообщений: 13 ]

 Похожие темы   Автор   Ответы   Просмотры   Последнее сообщение 
Двойной интеграл с переходом к полярным координатам

в форуме Интегральное исчисление

[anastasiyaCH]

7

491

25 ноя 2015, 19:55

Двойной интеграл в полярной системе координат

в форуме Интегральное исчисление

Dina86

2

268

06 апр 2016, 19:34

Двойной интеграл в полярной системе координат

в форуме Интегральное исчисление

helloStt

3

378

17 янв 2018, 14:56

Вычислить двойной интеграл в полярной системе координат

в форуме Интегральное исчисление

dima1536

6

451

24 дек 2017, 18:45

Сист. диф ур. x' = -2x + y +2z; y' = -1x + 2z; z' = -2x + 3z

в форуме Дифференциальные и Интегральные уравнения

petkosser

3

344

05 дек 2015, 17:32

Вычисление интеграла с переходом в полярные координаты

в форуме Интегральное исчисление

NN22

4

384

19 апр 2023, 17:07

Метод простой итерации для решения нелинейной сист. ур

в форуме Численные методы

dicesmt

3

572

20 окт 2016, 18:11

Алгоритм численного решения сист. трансцендентных уравнений?

в форуме Численные методы

gooroong

3

466

01 апр 2015, 12:43

Приведение к диагональному виду переходом к новому базису

в форуме Линейная и Абстрактная алгебра

brom

1

936

24 май 2017, 11:49

Приведение матрицы к диагональному виду переходом к базису

в форуме Линейная и Абстрактная алгебра

Vladyamba

0

1124

19 дек 2015, 22:01


Часовой пояс: UTC + 3 часа [ Летнее время ]



Кто сейчас на конференции

Сейчас этот форум просматривают: нет зарегистрированных пользователей и гости: 3


Вы не можете начинать темы
Вы не можете отвечать на сообщения
Вы не можете редактировать свои сообщения
Вы не можете удалять свои сообщения
Вы не можете добавлять вложения

Найти:
Перейти:  

Яндекс.Метрика

Copyright © 2010-2024 MathHelpPlanet.com. All rights reserved