Дискуссионный математический форумМатематический форум
Математический форум Math Help Planet

Обсуждение и решение задач по математике, физике, химии, экономике

Теоретический раздел
Часовой пояс: UTC + 3 часа [ Летнее время ]
новый онлайн-сервис
число, сумма и дата прописью

Часовой пояс: UTC + 3 часа [ Летнее время ]




Начать новую тему Ответить на тему  [ Сообщений: 4 ] 
Автор Сообщение
 Заголовок сообщения: AlgebraII
СообщениеДобавлено: 28 мар 2015, 00:02 
Не в сети
Продвинутый
Зарегистрирован:
26 дек 2014, 01:19
Сообщений: 95
Откуда: Brazil
Cпасибо сказано: 0
Спасибо получено:
8 раз в 8 сообщениях
Очков репутации: 3

Добавить очки репутацииУменьшить очки репутации
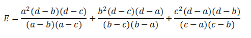
Simplify the expression:

Изображение

answer: d²

There is a easy way?

Вернуться к началу
 Профиль  
Cпасибо сказано 
 Заголовок сообщения: Re: AlgebraII
СообщениеДобавлено: 28 мар 2015, 01:33 
Не в сети
Beautiful Mind
Зарегистрирован:
29 окт 2010, 00:53
Сообщений: 1391
Откуда: Вязьма
Cпасибо сказано: 138
Спасибо получено:
984 раз в 642 сообщениях
Очков репутации: 263

Добавить очки репутацииУменьшить очки репутации
Изображение

Вернуться к началу
 Профиль  
Cпасибо сказано 
За это сообщение пользователю Uncle Fedor "Спасибо" сказали:
venjar, victor1111
 Заголовок сообщения: Re: AlgebraII
СообщениеДобавлено: 28 мар 2015, 14:59 
Не в сети
Продвинутый
Зарегистрирован:
26 дек 2014, 01:19
Сообщений: 95
Откуда: Brazil
Cпасибо сказано: 0
Спасибо получено:
8 раз в 8 сообщениях
Очков репутации: 3

Добавить очки репутацииУменьшить очки репутации
Thanks!!

Вернуться к началу
 Профиль  
Cпасибо сказано 
 Заголовок сообщения: Re: AlgebraII
СообщениеДобавлено: 28 мар 2015, 15:44 
Не в сети
Beautiful Mind
Зарегистрирован:
07 авг 2013, 15:21
Сообщений: 1027
Откуда: г. Липецк
Cпасибо сказано: 190
Спасибо получено:
126 раз в 118 сообщениях
Очков репутации: 16

Добавить очки репутацииУменьшить очки репутации
L-Br писал(а):
Simplify the expression:

Изображение

answer: d²

There is a easy way?

"Is there an easy way?"

Вернуться к началу
 Профиль  
Cпасибо сказано 
Показать сообщения за:  Поле сортировки  
Начать новую тему Ответить на тему      Страница 1 из 1 [ Сообщений: 4 ]

Часовой пояс: UTC + 3 часа [ Летнее время ]



Кто сейчас на конференции

Сейчас этот форум просматривают: нет зарегистрированных пользователей и гости: 5


Вы не можете начинать темы
Вы не можете отвечать на сообщения
Вы не можете редактировать свои сообщения
Вы не можете удалять свои сообщения
Вы не можете добавлять вложения

Найти:
Перейти:  

Яндекс.Метрика

Copyright © 2010-2024 MathHelpPlanet.com. All rights reserved