Дискуссионный математический форумМатематический форум
Математический форум Math Help Planet

Обсуждение и решение задач по математике, физике, химии, экономике

Теоретический раздел
Часовой пояс: UTC + 3 часа [ Летнее время ]
новый онлайн-сервис
число, сумма и дата прописью

Часовой пояс: UTC + 3 часа [ Летнее время ]




Начать новую тему Ответить на тему  [ Сообщений: 3 ] 
Автор Сообщение
 Заголовок сообщения: Factorization
СообщениеДобавлено: 26 мар 2015, 23:11 
Не в сети
Продвинутый
Зарегистрирован:
26 дек 2014, 01:19
Сообщений: 95
Откуда: Brazil
Cпасибо сказано: 0
Спасибо получено:
8 раз в 8 сообщениях
Очков репутации: 3

Добавить очки репутацииУменьшить очки репутации
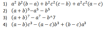
factor the following expressions:

Изображение

There is a "easy" way?

Вернуться к началу
 Профиль  
Cпасибо сказано 
 Заголовок сообщения: Re: Factorization
СообщениеДобавлено: 27 мар 2015, 02:08 
Не в сети
Light & Truth
Аватара пользователя
Зарегистрирован:
03 апр 2012, 19:13
Сообщений: 13571
Откуда: Москва
Cпасибо сказано: 1293
Спасибо получено:
3625 раз в 3182 сообщениях
Очков репутации: 678

Добавить очки репутацииУменьшить очки репутации
1) (a-b)(a-c)(c-b)(ab+ac+cb)
Изображение

Вернуться к началу
 Профиль  
Cпасибо сказано 
 Заголовок сообщения: Re: Factorization
СообщениеДобавлено: 27 мар 2015, 19:46 
Не в сети
Продвинутый
Зарегистрирован:
26 дек 2014, 01:19
Сообщений: 95
Откуда: Brazil
Cпасибо сказано: 0
Спасибо получено:
8 раз в 8 сообщениях
Очков репутации: 3

Добавить очки репутацииУменьшить очки репутации
Avgust. Thats the asnwer. But how do we get this answer?

Вернуться к началу
 Профиль  
Cпасибо сказано 
Показать сообщения за:  Поле сортировки  
Начать новую тему Ответить на тему      Страница 1 из 1 [ Сообщений: 3 ]

Часовой пояс: UTC + 3 часа [ Летнее время ]



Кто сейчас на конференции

Сейчас этот форум просматривают: нет зарегистрированных пользователей и гости: 5


Вы не можете начинать темы
Вы не можете отвечать на сообщения
Вы не можете редактировать свои сообщения
Вы не можете удалять свои сообщения
Вы не можете добавлять вложения

Найти:
Перейти:  

Яндекс.Метрика

Copyright © 2010-2024 MathHelpPlanet.com. All rights reserved