| Математический форум Math Help Planet http://mathhelpplanet.com/ |
|
| Корни http://mathhelpplanet.com/viewtopic.php?f=10&t=36288 |
Страница 1 из 1 |
| Автор: | lizasimpson [ 25 окт 2014, 20:28 ] |
| Заголовок сообщения: | Корни |
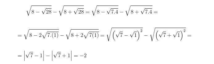
почему не правильно? |
|
| Автор: | L-Br [ 07 янв 2015, 02:08 ] |
| Заголовок сообщения: | Re: Корни |
![]() :) * I dont understand what you have done. Sorry :/ |
|
| Автор: | mad_math [ 07 янв 2015, 03:09 ] |
| Заголовок сообщения: | Re: Корни |
lizasimpson писал(а): почему не правильно? А почему [math]4\cdot 2\ne 4[/math]?
|
|
| Страница 1 из 1 | Часовой пояс: UTC + 3 часа [ Летнее время ] |
| Powered by phpBB © 2000, 2002, 2005, 2007 phpBB Group http://www.phpbb.com/ |
|