Дискуссионный математический форумМатематический форум
Математический форум Math Help Planet

Обсуждение и решение задач по математике, физике, химии, экономике

Теоретический раздел
Часовой пояс: UTC + 3 часа [ Летнее время ]
новый онлайн-сервис
число, сумма и дата прописью

Часовой пояс: UTC + 3 часа [ Летнее время ]




Начать новую тему Ответить на тему  [ Сообщений: 9 ] 
Автор Сообщение
 Заголовок сообщения: Найти предел
СообщениеДобавлено: 02 дек 2012, 18:49 
Не в сети
Начинающий
Зарегистрирован:
12 ноя 2012, 15:53
Сообщений: 40
Cпасибо сказано: 3
Спасибо получено:
0 раз в 0 сообщении
Очков репутации: 0

Добавить очки репутацииУменьшить очки репутации
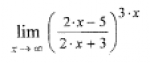
Помогите решить предел

Изображение

Вернуться к началу
 Профиль  
Cпасибо сказано 
 Заголовок сообщения: Re: Найти предел
СообщениеДобавлено: 02 дек 2012, 18:54 
Не в сети
Light & Truth
Зарегистрирован:
23 авг 2010, 22:28
Сообщений: 4433
Cпасибо сказано: 565
Спасибо получено:
1075 раз в 952 сообщениях
Очков репутации: 315

Добавить очки репутацииУменьшить очки репутации
Используйте второй замечательный предел и непрерывность элементарных функций.

Вернуться к началу
 Профиль  
Cпасибо сказано 
 Заголовок сообщения: Re: Найти предел
СообщениеДобавлено: 02 дек 2012, 19:03 
Не в сети
Администратор
Аватара пользователя
Зарегистрирован:
23 фев 2010, 22:52
Сообщений: 6004
Cпасибо сказано: 3247
Спасибо получено:
3158 раз в 2273 сообщениях
Очков репутации: 652

Добавить очки репутацииУменьшить очки репутации
Сведите к виду второго замечательного предела

[math]\begin{aligned}\lim\limits_{x\to\infty} \left(\frac{2x-5}{2x-3}\right)^{3x}&= \lim\limits_{x\to\infty} \left(\frac{2x-3-2}{2x-3}\right)^{3x}= \lim\limits_{x\to\infty} \left(1+\frac{-2}{2x-3}\right)^{\frac{2x-3}{-2}\cdot \frac{-6x}{2x-3}}=\\ &=\left[\lim\limits_{x\to\infty} \left(1+\frac{-2}{2x-3}\right)^{\frac{2x-3}{-2}}\right]^{\lim\limits_{x\to\infty}\frac{-6}{2-3 \!\not{\phantom{|}}\,\,x}}= \exp\frac{-6}{2-0}= e^{-3}\end{aligned}[/math]

Вернуться к началу
 Профиль  
Cпасибо сказано 
 Заголовок сообщения: Re: Найти предел
СообщениеДобавлено: 02 дек 2012, 19:17 
Не в сети
Начинающий
Зарегистрирован:
12 ноя 2012, 15:53
Сообщений: 40
Cпасибо сказано: 3
Спасибо получено:
0 раз в 0 сообщении
Очков репутации: 0

Добавить очки репутацииУменьшить очки репутации
Цитата:
Сведите к виду второго замечательного предела


это как? что надо сделать?

Вернуться к началу
 Профиль  
Cпасибо сказано 
 Заголовок сообщения: Re: Найти предел
СообщениеДобавлено: 02 дек 2012, 19:26 
Не в сети
Администратор
Аватара пользователя
Зарегистрирован:
23 фев 2010, 22:52
Сообщений: 6004
Cпасибо сказано: 3247
Спасибо получено:
3158 раз в 2273 сообщениях
Очков репутации: 652

Добавить очки репутацииУменьшить очки репутации
__VAMPIR__

Я уже всё сделал. Смотрите внимательно.

Вернуться к началу
 Профиль  
Cпасибо сказано 
 Заголовок сообщения: Re: Найти предел
СообщениеДобавлено: 02 дек 2012, 19:29 
Не в сети
Начинающий
Зарегистрирован:
12 ноя 2012, 15:53
Сообщений: 40
Cпасибо сказано: 3
Спасибо получено:
0 раз в 0 сообщении
Очков репутации: 0

Добавить очки репутацииУменьшить очки репутации
Alexdemath посмотрите внимательно, в знаменателе у меня стоит 2х + 3 , А у вас 2х - 3 . Влияет ли это как то на решение? или так и должно быть? :)

Вернуться к началу
 Профиль  
Cпасибо сказано 
 Заголовок сообщения: Re: Найти предел
СообщениеДобавлено: 02 дек 2012, 20:46 
Не в сети
Администратор
Аватара пользователя
Зарегистрирован:
23 фев 2010, 22:52
Сообщений: 6004
Cпасибо сказано: 3247
Спасибо получено:
3158 раз в 2273 сообщениях
Очков репутации: 652

Добавить очки репутацииУменьшить очки репутации
Аналогично абсолютно

[math]\begin{aligned} \lim\limits_{x\to\infty} \left(\frac{2x-5}{2x+3}\right)^{3x}&= \lim\limits_{x\to\infty} \left(\frac{2x+3-8}{2x+3}\right)^{3x}= \lim\limits_{x\to\infty} \left(1+\frac{-8}{2x+3}\right)^{\frac{2x+3}{-8}\cdot \frac{-24x}{2x+3}}=\\ &=\left[\lim\limits_{x\to\infty} \left(1+\frac{-8}{2x+3}\right)^{\frac{2x+3}{-8}}\right]^{\lim\limits_{x\to\infty}\frac{-24}{2+3 \!\not{\phantom{|}}\,\,x}}= \exp\frac{-24}{2-0}= e^{-12}\end{aligned}[/math]

Вернуться к началу
 Профиль  
Cпасибо сказано 
За это сообщение пользователю Alexdemath "Спасибо" сказали:
__VAMPIR__
 Заголовок сообщения: Re: Найти предел
СообщениеДобавлено: 02 дек 2012, 21:16 
Не в сети
Начинающий
Зарегистрирован:
12 ноя 2012, 15:53
Сообщений: 40
Cпасибо сказано: 3
Спасибо получено:
0 раз в 0 сообщении
Очков репутации: 0

Добавить очки репутацииУменьшить очки репутации
Alexdemath спасибо большое.

Вернуться к началу
 Профиль  
Cпасибо сказано 
 Заголовок сообщения: Re: Найти предел
СообщениеДобавлено: 03 дек 2012, 00:57 
Не в сети
Light & Truth
Аватара пользователя
Зарегистрирован:
03 апр 2012, 19:13
Сообщений: 13561
Откуда: Москва
Cпасибо сказано: 1291
Спасибо получено:
3622 раз в 3180 сообщениях
Очков репутации: 678

Добавить очки репутацииУменьшить очки репутации
Я предпочитаю всегда изменения делать не в степенях, а в дроби по схеме:

[math]\left (1+\frac{a}{bx} \right )^{cx} \quad \to \quad \left (1+\frac{\frac cb\, a}{\frac cb \, bx} \right )^{cx}[/math]

Это намного проще.

Вернуться к началу
 Профиль  
Cпасибо сказано 
Показать сообщения за:  Поле сортировки  
Начать новую тему Ответить на тему      Страница 1 из 1 [ Сообщений: 9 ]

 Похожие темы   Автор   Ответы   Просмотры   Последнее сообщение 
Найти предел

в форуме Пределы числовых последовательностей и функций, Исследования функций

kicultanya

1

140

09 сен 2017, 08:18

Найти предел

в форуме Пределы числовых последовательностей и функций, Исследования функций

Gans_Shmulke

2

174

05 сен 2017, 22:08

Найти предел

в форуме Пределы числовых последовательностей и функций, Исследования функций

kicultanya

3

279

06 мар 2018, 09:06

Найти предел

в форуме Пределы числовых последовательностей и функций, Исследования функций

kicultanya

4

292

29 окт 2017, 17:24

Найти предел

в форуме Пределы числовых последовательностей и функций, Исследования функций

Nikolaev24

1

188

27 дек 2018, 08:16

Найти предел

в форуме Пределы числовых последовательностей и функций, Исследования функций

batyka

3

328

27 дек 2015, 23:54

Найти предел

в форуме Пределы числовых последовательностей и функций, Исследования функций

351w

2

184

20 ноя 2020, 06:00

Как найти предел

в форуме Пределы числовых последовательностей и функций, Исследования функций

uluana_v

3

490

27 фев 2016, 18:57

Найти предел

в форуме Начала анализа и Другие разделы школьной математики

maksim-maksim

5

284

20 май 2019, 14:58

Найти предел

в форуме Пределы числовых последовательностей и функций, Исследования функций

Sigma

4

386

29 окт 2017, 17:55


Часовой пояс: UTC + 3 часа [ Летнее время ]



Кто сейчас на конференции

Сейчас этот форум просматривают: нет зарегистрированных пользователей и гости: 6


Вы не можете начинать темы
Вы не можете отвечать на сообщения
Вы не можете редактировать свои сообщения
Вы не можете удалять свои сообщения
Вы не можете добавлять вложения

Найти:
Перейти:  

Яндекс.Метрика

Copyright © 2010-2024 MathHelpPlanet.com. All rights reserved