Дискуссионный математический форумМатематический форум
Математический форум Math Help Planet

Обсуждение и решение задач по математике, физике, химии, экономике

Теоретический раздел
Часовой пояс: UTC + 3 часа [ Летнее время ]
новый онлайн-сервис
число, сумма и дата прописью

Часовой пояс: UTC + 3 часа [ Летнее время ]




Начать новую тему Ответить на тему  [ Сообщений: 8 ] 
Автор Сообщение
 Заголовок сообщения: Система дифференциальных уравнений
СообщениеДобавлено: 07 апр 2014, 17:35 
Не в сети
Профи
Зарегистрирован:
20 апр 2011, 20:15
Сообщений: 462
Cпасибо сказано: 212
Спасибо получено:
1 раз в 1 сообщении
Очков репутации: 1

Добавить очки репутацииУменьшить очки репутации
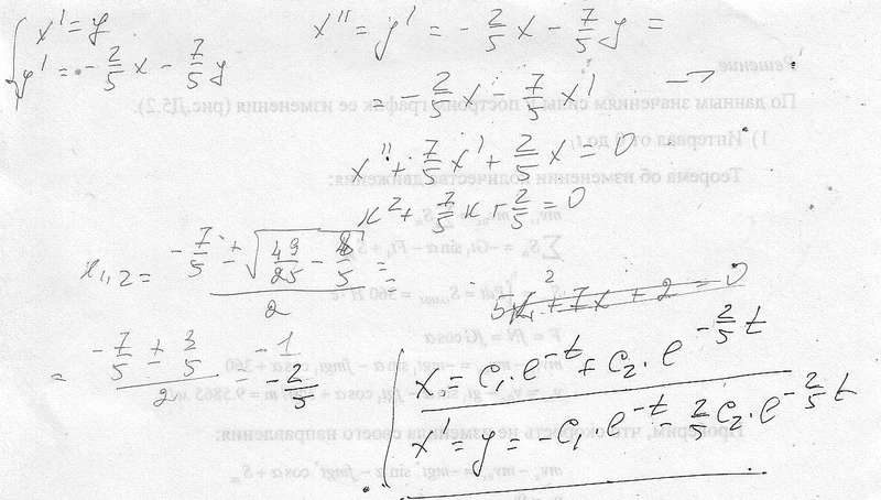
Добрый Вечер! Помогите Пожалуйста решить систему дифференциальных уравнений:
[math]\left\{\begin{matrix}\dot{x}=y\\\dot{y}=-\frac{2}{5}x-\frac{7}{5}y \end{matrix}\right.[/math]

Вернуться к началу
 Профиль  
Cпасибо сказано 
 Заголовок сообщения: Re: Система дифференциальных уравнений
СообщениеДобавлено: 07 апр 2014, 18:20 
Не в сети
Свет и истина
Аватара пользователя
Зарегистрирован:
30 мар 2010, 11:03
Сообщений: 7479
Cпасибо сказано: 526
Спасибо получено:
3644 раз в 2901 сообщениях
Очков репутации: 745

Добавить очки репутацииУменьшить очки репутации
Изображение

Вернуться к началу
 Профиль  
Cпасибо сказано 
За это сообщение пользователю pewpimkin "Спасибо" сказали:
Merhaba
 Заголовок сообщения: Re: Система дифференциальных уравнений
СообщениеДобавлено: 07 апр 2014, 19:13 
Не в сети
Профи
Зарегистрирован:
20 апр 2011, 20:15
Сообщений: 462
Cпасибо сказано: 212
Спасибо получено:
1 раз в 1 сообщении
Очков репутации: 1

Добавить очки репутацииУменьшить очки репутации
pewpimkin
А как в данном случае будут выглядеть фазовые траектории?

Вернуться к началу
 Профиль  
Cпасибо сказано 
 Заголовок сообщения: Re: Система дифференциальных уравнений
СообщениеДобавлено: 07 апр 2014, 19:31 
Не в сети
Свет и истина
Аватара пользователя
Зарегистрирован:
30 мар 2010, 11:03
Сообщений: 7479
Cпасибо сказано: 526
Спасибо получено:
3644 раз в 2901 сообщениях
Очков репутации: 745

Добавить очки репутацииУменьшить очки репутации
Изображение

Думаю так. Устойчивый узел

Вернуться к началу
 Профиль  
Cпасибо сказано 
За это сообщение пользователю pewpimkin "Спасибо" сказали:
Merhaba
 Заголовок сообщения: Re: Система дифференциальных уравнений
СообщениеДобавлено: 07 апр 2014, 19:36 
Не в сети
Профи
Зарегистрирован:
20 апр 2011, 20:15
Сообщений: 462
Cпасибо сказано: 212
Спасибо получено:
1 раз в 1 сообщении
Очков репутации: 1

Добавить очки репутацииУменьшить очки репутации
pewpimkin
а как их вообще строить?

Вернуться к началу
 Профиль  
Cпасибо сказано 
 Заголовок сообщения: Re: Система дифференциальных уравнений
СообщениеДобавлено: 07 апр 2014, 19:46 
Не в сети
Свет и истина
Аватара пользователя
Зарегистрирован:
30 мар 2010, 11:03
Сообщений: 7479
Cпасибо сказано: 526
Спасибо получено:
3644 раз в 2901 сообщениях
Очков репутации: 745

Добавить очки репутацииУменьшить очки репутации
Задавать значения t и строить точки. А вообще есть таблицы, как они выглядят в зависимости от корней характеристического уравнения

Вернуться к началу
 Профиль  
Cпасибо сказано 
За это сообщение пользователю pewpimkin "Спасибо" сказали:
Merhaba
 Заголовок сообщения: Re: Система дифференциальных уравнений
СообщениеДобавлено: 07 апр 2014, 19:58 
Не в сети
Профи
Зарегистрирован:
20 апр 2011, 20:15
Сообщений: 462
Cпасибо сказано: 212
Спасибо получено:
1 раз в 1 сообщении
Очков репутации: 1

Добавить очки репутацииУменьшить очки репутации
pewpimkin
а константы интегрирования будут как-нить влиять на вид фазовых траекторий?

Вернуться к началу
 Профиль  
Cпасибо сказано 
 Заголовок сообщения: Re: Система дифференциальных уравнений
СообщениеДобавлено: 07 апр 2014, 20:04 
Не в сети
Свет и истина
Аватара пользователя
Зарегистрирован:
30 мар 2010, 11:03
Сообщений: 7479
Cпасибо сказано: 526
Спасибо получено:
3644 раз в 2901 сообщениях
Очков репутации: 745

Добавить очки репутацииУменьшить очки репутации
На моей красивой картинке каждая парабола соответствует разным С

Вернуться к началу
 Профиль  
Cпасибо сказано 
За это сообщение пользователю pewpimkin "Спасибо" сказали:
Merhaba
Показать сообщения за:  Поле сортировки  
Начать новую тему Ответить на тему      Страница 1 из 1 [ Сообщений: 8 ]

 Похожие темы   Автор   Ответы   Просмотры   Последнее сообщение 
Система дифференциальных уравнений

в форуме Дифференциальные и Интегральные уравнения

Sadness

6

361

10 янв 2022, 14:54

Система дифференциальных уравнений

в форуме Дифференциальные и Интегральные уравнения

Kashkay

0

270

27 ноя 2016, 17:09

Система дифференциальных уравнений

в форуме Дифференциальные и Интегральные уравнения

351w

6

304

05 апр 2019, 04:27

Система дифференциальных уравнений

в форуме Дифференциальные и Интегральные уравнения

bakmen

7

385

20 апр 2020, 16:24

Система дифференциальных уравнений

в форуме Дифференциальные и Интегральные уравнения

omudwufko

1

325

14 фев 2015, 14:10

Система дифференциальных уравнений

в форуме Дифференциальные и Интегральные уравнения

351w

1

342

25 янв 2021, 15:19

Система дифференциальных уравнений

в форуме Дифференциальные и Интегральные уравнения

ka9aje

1

174

29 апр 2020, 11:35

Система дифференциальных уравнений

в форуме Дифференциальные и Интегральные уравнения

Kashkay

1

225

28 ноя 2016, 15:42

Система дифференциальных уравнений

в форуме Дифференциальные и Интегральные уравнения

nomot

1

266

30 июн 2017, 11:12

Система дифференциальных уравнений

в форуме Дифференциальное исчисление

Luis32

0

447

17 дек 2016, 15:31


Часовой пояс: UTC + 3 часа [ Летнее время ]



Кто сейчас на конференции

Сейчас этот форум просматривают: нет зарегистрированных пользователей и гости: 2


Вы не можете начинать темы
Вы не можете отвечать на сообщения
Вы не можете редактировать свои сообщения
Вы не можете удалять свои сообщения
Вы не можете добавлять вложения

Найти:
Перейти:  

Яндекс.Метрика

Copyright © 2010-2024 MathHelpPlanet.com. All rights reserved