Дискуссионный математический форумМатематический форум
Математический форум Math Help Planet

Обсуждение и решение задач по математике, физике, химии, экономике

Теоретический раздел
Часовой пояс: UTC + 3 часа [ Летнее время ]
новый онлайн-сервис
число, сумма и дата прописью

Часовой пояс: UTC + 3 часа [ Летнее время ]




Начать новую тему Ответить на тему  [ Сообщений: 7 ] 
Автор Сообщение
 Заголовок сообщения: Неопределенный интеграл
СообщениеДобавлено: 02 июн 2013, 13:07 
Не в сети
Начинающий
Зарегистрирован:
02 май 2013, 17:04
Сообщений: 13
Cпасибо сказано: 9
Спасибо получено:
0 раз в 0 сообщении
Очков репутации: 1

Добавить очки репутацииУменьшить очки репутации
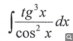
Изображение

Каков принцип решения?

Вернуться к началу
 Профиль  
Cпасибо сказано 
 Заголовок сообщения: Re: Неопределенный интеграл
СообщениеДобавлено: 02 июн 2013, 13:20 
Не в сети
Light & Truth
Аватара пользователя
Зарегистрирован:
03 апр 2012, 19:13
Сообщений: 13571
Откуда: Москва
Cпасибо сказано: 1293
Спасибо получено:
3625 раз в 3182 сообщениях
Очков репутации: 678

Добавить очки репутацииУменьшить очки репутации
Нуууу! Под дифференциал квадрат косинуса вводите и будет d(tg x)

Вернуться к началу
 Профиль  
Cпасибо сказано 
За это сообщение пользователю Avgust "Спасибо" сказали:
CRUMBL
 Заголовок сообщения: Re: Неопределенный интеграл
СообщениеДобавлено: 02 июн 2013, 13:22 
Не в сети
Light & Truth
Зарегистрирован:
21 авг 2011, 14:49
Сообщений: 5279
Cпасибо сказано: 315
Спасибо получено:
2299 раз в 1966 сообщениях
Очков репутации: 520

Добавить очки репутацииУменьшить очки репутации
[math]d\left( {\operatorname{tg}x} \right) = \frac{{dx}}{{{{\cos }^2}x}}[/math]

Вернуться к началу
 Профиль  
Cпасибо сказано 
 Заголовок сообщения: Re: Неопределенный интеграл
СообщениеДобавлено: 02 июн 2013, 14:08 
Не в сети
Начинающий
Зарегистрирован:
02 май 2013, 17:04
Сообщений: 13
Cпасибо сказано: 9
Спасибо получено:
0 раз в 0 сообщении
Очков репутации: 1

Добавить очки репутацииУменьшить очки репутации
Avgust и Yurik, вообще ничего не понимаю, такого нет в тетради. А есть другой способ решения?

Вернуться к началу
 Профиль  
Cпасибо сказано 
 Заголовок сообщения: Re: Неопределенный интеграл
СообщениеДобавлено: 02 июн 2013, 14:12 
Не в сети
Light & Truth
Зарегистрирован:
21 авг 2011, 14:49
Сообщений: 5279
Cпасибо сказано: 315
Спасибо получено:
2299 раз в 1966 сообщениях
Очков репутации: 520

Добавить очки репутацииУменьшить очки репутации
Сделайте подстановку [math]t=\operatorname{tg}x\,\,=>\,\,dt=\frac{dx}{\cos^2 x}[/math].

Вернуться к началу
 Профиль  
Cпасибо сказано 
 Заголовок сообщения: Re: Неопределенный интеграл
СообщениеДобавлено: 02 июн 2013, 14:24 
Не в сети
Начинающий
Зарегистрирован:
02 май 2013, 17:04
Сообщений: 13
Cпасибо сказано: 9
Спасибо получено:
0 раз в 0 сообщении
Очков репутации: 1

Добавить очки репутацииУменьшить очки репутации
Yurik писал(а):
Сделайте подстановку [math]t=\operatorname{tg}x\,\,=>\,\,dt=\frac{dx}{\cos^2 x}[/math].

Т.е. в итоге, если я подставляю, у меня получается интеграл от [math]t^3dt[/math]? И выходит [math](tg^4)|4[/math]?

Вернуться к началу
 Профиль  
Cпасибо сказано 
 Заголовок сообщения: Re: Неопределенный интеграл
СообщениеДобавлено: 02 июн 2013, 14:25 
Не в сети
Light & Truth
Зарегистрирован:
21 авг 2011, 14:49
Сообщений: 5279
Cпасибо сказано: 315
Спасибо получено:
2299 раз в 1966 сообщениях
Очков репутации: 520

Добавить очки репутацииУменьшить очки репутации
Да.

Вернуться к началу
 Профиль  
Cпасибо сказано 
За это сообщение пользователю Yurik "Спасибо" сказали:
CRUMBL
Показать сообщения за:  Поле сортировки  
Начать новую тему Ответить на тему      Страница 1 из 1 [ Сообщений: 7 ]

 Похожие темы   Автор   Ответы   Просмотры   Последнее сообщение 
Неопределенный интеграл. скажите , как решать интеграл

в форуме Интегральное исчисление

natalee

3

707

18 янв 2015, 17:23

Неопределенный интеграл. скажите , как решать интеграл

в форуме Интегральное исчисление

natalee

1

824

18 янв 2015, 17:23

Неопределенный интеграл

в форуме Интегральное исчисление

351w

10

520

30 мар 2018, 05:20

Неопределенный интеграл

в форуме Интегральное исчисление

351w

8

453

25 мар 2018, 21:22

Неопределенный интеграл

в форуме Интегральное исчисление

ladislaus232

6

520

07 фев 2021, 13:06

Неопределенный интеграл

в форуме Интегральное исчисление

whattheduck

5

271

27 янв 2021, 20:10

Неопределенный интеграл

в форуме Интегральное исчисление

351w

2

450

29 мар 2018, 06:10

Неопределенный интеграл

в форуме Интегральное исчисление

351w

9

279

19 дек 2020, 21:59

Неопределённый интеграл

в форуме Пределы числовых последовательностей и функций, Исследования функций

Buffon

4

329

22 мар 2015, 21:11

Неопределённый интеграл

в форуме Интегральное исчисление

jagdish

3

601

29 сен 2018, 12:41


Часовой пояс: UTC + 3 часа [ Летнее время ]



Кто сейчас на конференции

Сейчас этот форум просматривают: нет зарегистрированных пользователей и гости: 4


Вы не можете начинать темы
Вы не можете отвечать на сообщения
Вы не можете редактировать свои сообщения
Вы не можете удалять свои сообщения
Вы не можете добавлять вложения

Найти:
Перейти:  

Яндекс.Метрика

Copyright © 2010-2024 MathHelpPlanet.com. All rights reserved