Дискуссионный математический форумМатематический форум
Математический форум Math Help Planet

Обсуждение и решение задач по математике, физике, химии, экономике

Теоретический раздел
Часовой пояс: UTC + 3 часа [ Летнее время ]
новый онлайн-сервис
число, сумма и дата прописью

Часовой пояс: UTC + 3 часа [ Летнее время ]




Начать новую тему Ответить на тему  [ Сообщений: 15 ]  На страницу Пред.  1, 2
Автор Сообщение
 Заголовок сообщения: Re: Как решить уравнение с тремя корнями?
СообщениеДобавлено: 02 дек 2024, 18:14 
Не в сети
Light & Truth
Аватара пользователя
Зарегистрирован:
03 апр 2012, 19:13
Сообщений: 13561
Откуда: Москва
Cпасибо сказано: 1291
Спасибо получено:
3622 раз в 3180 сообщениях
Очков репутации: 678

Добавить очки репутацииУменьшить очки репутации
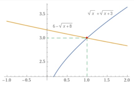
Ну, у меня более универсально все. Действительные корни в сложных тождествах всегда ищу графически. В данном случае уравнение из решебника :

Изображение

Полученный корень x=1 проверяю подставлением в исходник. Если решение точное, то ОК. Если корень отличается от целого, то применяю итерацию ньютона.

Вернуться к началу
 Профиль  
Cпасибо сказано 
 Заголовок сообщения: Re: Как решить уравнение с тремя корнями?
СообщениеДобавлено: 02 дек 2024, 18:51 
Не в сети
Последняя инстанция
Зарегистрирован:
08 апр 2015, 12:21
Сообщений: 7830
Cпасибо сказано: 243
Спасибо получено:
2861 раз в 2641 сообщениях
Очков репутации: 502

Добавить очки репутацииУменьшить очки репутации
AlekseyMath писал(а):
Это пример из части ЕГЭ с полным обоснованием решения, поэтому не думаю, что можно отделаться фразой: нашел подбором

Вы невнимательно прочитали предыдущие посты, всюду после "угадывания" целочисленного корня следовало указание на монотонность вострастающей функции левой части уравнения. Сомневаюсь, что в Вашем примере "полное обоснование" решения отличалось от приведённых выше!

Вернуться к началу
 Профиль  
Cпасибо сказано 
За это сообщение пользователю michel "Спасибо" сказали:
pewpimkin
 Заголовок сообщения: Re: Как решить уравнение с тремя корнями?
СообщениеДобавлено: 02 дек 2024, 19:12 
Не в сети
Light & Truth
Аватара пользователя
Зарегистрирован:
03 апр 2012, 19:13
Сообщений: 13561
Откуда: Москва
Cпасибо сказано: 1291
Спасибо получено:
3622 раз в 3180 сообщениях
Очков репутации: 678

Добавить очки репутацииУменьшить очки репутации
michel
В моем случае решение чаще всего находится по времени в разы быстрее. А это ведь существенная деталь.

Вернуться к началу
 Профиль  
Cпасибо сказано 
 Заголовок сообщения: Re: Как решить уравнение с тремя корнями?
СообщениеДобавлено: 02 дек 2024, 19:31 
Не в сети
Последняя инстанция
Зарегистрирован:
08 апр 2015, 12:21
Сообщений: 7830
Cпасибо сказано: 243
Спасибо получено:
2861 раз в 2641 сообщениях
Очков репутации: 502

Добавить очки репутацииУменьшить очки репутации
Avgust писал(а):
В моем случае решение чаще всего находится по времени в разы быстрее. А это ведь существенная деталь

С помощью метода Ньютона? Так эта задача из материалов ЕГЭ по математике - там даже калькулятором нельзя пользоваться!

Вернуться к началу
 Профиль  
Cпасибо сказано 
 Заголовок сообщения: Re: Как решить уравнение с тремя корнями?
СообщениеДобавлено: 02 дек 2024, 19:59 
Не в сети
Light & Truth
Аватара пользователя
Зарегистрирован:
03 апр 2012, 19:13
Сообщений: 13561
Откуда: Москва
Cпасибо сказано: 1291
Спасибо получено:
3622 раз в 3180 сообщениях
Очков репутации: 678

Добавить очки репутацииУменьшить очки репутации
michel
Было время, когда шариковые ручки запрещали. Это при мне было. Только чернила и перья. Так что скоро все разрешат и к этому нужно сейчас готовиться.

Вернуться к началу
 Профиль  
Cпасибо сказано 
Показать сообщения за:  Поле сортировки  
Начать новую тему Ответить на тему    На страницу Пред.  1, 2  Страница 2 из 2 [ Сообщений: 15 ]

 Похожие темы   Автор   Ответы   Просмотры   Последнее сообщение 
Решить уравнение с квадратными корнями

в форуме Алгебра

B0RN2BFREE

10

413

25 янв 2020, 18:33

Не могу решить уравнение с двумя корнями

в форуме Алгебра

fghj

10

915

21 май 2021, 19:28

систему уравнений исследовать и решить тремя способами

в форуме Линейная и Абстрактная алгебра

anastasia336

15

608

24 ноя 2016, 18:49

Уравнение с тремя параметрами

в форуме Алгебра

sergebsl

1

132

16 окт 2022, 00:44

Уравнение с тремя неизвестными

в форуме Алгебра

Pashx

4

314

22 июл 2017, 01:10

Диофантово уравнение с тремя неизвестными

в форуме Теория чисел

Claudia

5

508

11 июн 2018, 18:23

Диофантовое уравнение онлайн с тремя переменными

в форуме Размышления по поводу и без

VeryWell

1

511

02 апр 2015, 15:02

Привести к каноническому виду уравнение с тремя неизвестными

в форуме Специальные разделы

alexcaspian

0

233

24 фев 2019, 16:49

Сложное уравнение с корнями

в форуме Алгебра

KostyaVasya

8

451

24 июл 2019, 21:16

Уравнение с комплексными корнями

в форуме Комплексный анализ и Операционное исчисление

KrOks

5

315

19 фев 2023, 13:46


Часовой пояс: UTC + 3 часа [ Летнее время ]



Кто сейчас на конференции

Сейчас этот форум просматривают: нет зарегистрированных пользователей и гости: 8


Вы не можете начинать темы
Вы не можете отвечать на сообщения
Вы не можете редактировать свои сообщения
Вы не можете удалять свои сообщения
Вы не можете добавлять вложения

Найти:
Перейти:  

Яндекс.Метрика

Copyright © 2010-2024 MathHelpPlanet.com. All rights reserved